您现在的位置是:主页 > 新闻 > 2025ESMO丨徐兵河教授:吡洛西利生存获益显著,安全可管可控,BRIGHT研究合并分析为不同年龄HR+乳腺癌诊疗再添

2025ESMO丨徐兵河教授:吡洛西利生存获益显著,安全可管可控,BRIGHT研究合并分析为不同年龄HR+乳腺癌诊疗再添

时间:2025-11-14 15:43  来源:未知  阅读次数: 复制分享 我要评论

  2025年欧洲肿瘤内科学会(ESMO)年会于10月17日至21日在德国柏林召开。本次大会上,BRIGHT-1研究牵头PI中国医学科学院肿瘤医院徐兵河教授团队和主要研究者哈尔滨医科大学附属肿瘤医院张清媛教授团队共同发布了一项吡洛西利联合内分泌治疗(ET)在HR+/HER2-晚期乳腺癌(ABC)青年至老年患者中的疗效和安全性结果:BRIGHT研究的合并分析入选壁报部分(摘要号:501P)1。该项研究系统评估了吡洛西利在青年至老年ABC患者中的疗效与安全性,为老年患者的个体化治疗提供了高级别循证依据。据此,医脉通特此整理该研究主要内容,以飨读者。

  CDK4/6抑制剂再添力证,吡洛西利实现疗效与安全双优

  研究方法

  该研究纳入BRIGHT-1、BRIGHT-2、BRIGHT-3研究中共计832例HR+/HER2- ABC患者数据合并分析,患者均接受吡洛西利/安慰剂联合阿那曲唑/来曲唑/氟维司群作为一线(既往未接受ET或ET敏感)或二线(原发或继发ET耐药)治疗方案。主要研究终点为研究者评估的无进展生存期(PFS)。

图1.研究流程图1

  研究结果

  基于患者基线特征,在65岁及以上患者中,吡洛西利联合ET组和安慰剂联合ET组分别有57.5%和61.9%的患者接受了一线治疗;而在65岁以下患者中,两个治疗组接受一线治疗的比例均为47.2%。

  表1.基线特征[*内分泌治疗(ET)包括来曲唑(2.5mg)或阿那曲唑(1mg)QD,口服,或氟维司群于第一周期第1天和第15天肌注500mg,每28天一周期]1

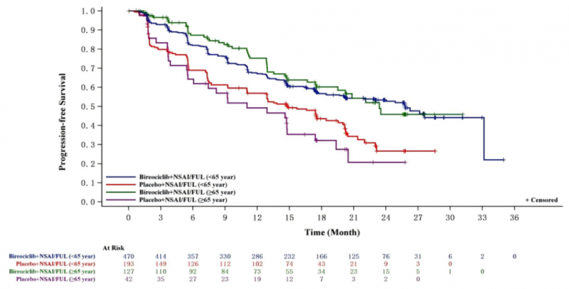
最终疗效结果显示,吡洛西利可显著延长患者PFS(图2):

  · <65岁患者:吡洛西利组中位无进展生存期(mPFS)为25.79个月,安慰剂组为14.78个月(HR=0.607,P<0.0001);

  · ≥65岁患者:吡洛西利组mPFS为23.39个月,安慰剂组为11.04个月(HR=0.417,P=0.0002)。

图2.总人群中PFS的Kaplan-Meier曲线1

  在一线治疗组中,吡洛西利在两个年龄亚组中均显示出PFS的改善(图3):

  · <65岁患者:吡洛西利组mPFS未达到(NR),安慰剂组为14.75个月(HR=0.38,P=0.0032);

  · ≥65岁患者:吡洛西利组mPFS为NR,安慰剂组为19.55个月(HR=0.62,P=0.0137)。

图3.一线治疗组中PFS的Kaplan-Meier曲线1

  在二线治疗组中,吡洛西利在两个年龄亚组中均显示出PFS的改善(图4):

  · <65岁患者:吡洛西利组mPFS为17.64个月,安慰剂组为7.69个月(HR=0.577,P=0.0002);

  · ≥65岁患者:吡洛西利组mPFS为17.48个月,安慰剂组为4.65个月(HR=0.351,P=0.0015)。

图4.二线治疗组中PFS的Kaplan-Meier曲线1

  总人群中,客观缓解率(ORR)仍持续具备显著优势:

  · <65岁患者:吡洛西利组为54.9%,安慰剂组为31.6%(P<0.0001);

  · ≥65岁患者:吡洛西利组为57.5%,安慰剂组为26.2%(P=0.0007)。

  在一线治疗组中,吡洛西利在两个年龄亚组均具有ORR改善:

  · <65岁患者:吡洛西利组为63.5%,安慰剂组为44.0%(P=0.0016);

  · ≥65岁患者:吡洛西利组为61.6%,安慰剂组为34.6%(P=0.0200)。

  在二线治疗组中,吡洛西利在两个年龄亚组仍均具有ORR改善:

  · <65岁患者:吡洛西利组为47.2%,安慰剂组为20.6%(P<0.0001)

  · ≥65岁患者:吡洛西利组为51.9%,安慰剂组为12.5%(P=0.0119)。

  表2.总人群治疗效果及按治疗方案分层效果1

  安全性分析结果显示,尽管老年患者剂量调整的发生率更高,但整体可控。≥65岁患者常见≥3级治疗期间不良事件(TEAEs)为:中性粒细胞减少(24.4%)、白细胞减少(20.5%)和低钾血症(18.9%)。

  同时,≥65岁患者和<65岁患者中因TEAEs而进行治疗调整的情况如下:

  · 剂量中断:≥65岁组 70.1% vs.<65岁组 69.4%;

  · 剂量减少:≥65岁组 52.8% vs.<65岁组 38.7%(P=0.0044);

  ·治疗终止:≥65岁组 5.5% vs.<65岁组 1.9%。

  表3.发生率≥30%的TEAEs1

  研究结论

  在HR+/HER2- ABC患者中,无论是老年患者还是非老年患者,吡洛西利联合ET都显示出显著且一致的临床获益,且安全性可控。

相关资讯